Keran Otomatis Menggunakan Sensor Pir
DAFTAR ISI
1. Tujuan
2. Pembahasan
3. Komponen
4. Prinsip Kerja
5. Gambar Rangkaian
6. Video Simulasi
7. Link Download
- Memahami dan mampu mengaplikasikan Rangkaian Keran Otomatis dengan sensor pir
- Membuat Rangkaian Keran Otomatis dengan sensor pir
- Menjalankan dan menganalisa Rangkaian Keran Otomatis dengan sensor pir
ALAT
1. Power supply
Power Supply atau dalam bahasa Indonesia disebut dengan Catu Daya adalah suatu alat listrik yang dapat menyediakan energi listrik untuk perangkat listrik ataupun elektronika lainnya.
BBAHAN
1. PIR (Passive Infra Red)
Spesifikasi
-Vin : DC 5V 9V.
-Radius : 180 derajat.
- Jarak deteksi : 5,7 meter.
2. Transistor
- Kemampuan 600mW Power Disspation dan 200mA Ic
- Tingkat Sensitivitas Moisure 1
- Epoxy memenuhi peringkat mudah terbakar UL 94 V-0
- 1 buah Type 2N3904
3. Resistor
- Resistor 1 Watt
- 1k ohms (1 buah)
4. IC OP-Amp
Konfigurasi pin
Pin 1 : Offset Null
Pin 2 : Inverting i/p
Pin 3: Non-invering i/p
Pin 4: V-
Pin 5 : Offset Null
Pin 6 : Output
Pin 7: V+
Pin 8 : NC
Spesifikasi Bahan
Komponen Output
1. Relay
Konfigurasi Pin
Spesifikasi Pin
3. Dasar Teori
1.) Sensor Pir
Sensor PIR (Passive Infra Red) adalah sensor yang digunakan untuk mendeteksi adanya pancaran sinar infra merah dari suatu object. Sensor PIR bersifat pasif, artinya sensor ini tidak memancarkan sinar infra merah tetapi hanya menerima radiasi sinar infra merah dari luar.
2.) Op-Amp
a. Buffer
Buffer merupakan rangkaian yang dapat menjaga garis agar tetap apda nilai yang telah ditentukan.
b. inverting amplifier
c. Non Inverting
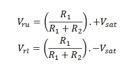
d. Komparator
e. Adder
4. Percobaan
a. Prosedur Percobaan
1. Siapkan semua alat dan bahan yang diperlukan pada percobaan
2. Baca datasheet setiap komponen sebelum di rangkai
3. Rangkailah rangkaian seperti pada gambar rangkaian yang tertera dibawah
4. Tentukanlah Semua Nilai Resistor
5. Hubungkan Rangkaian dengan Catudaya, dan cobalah untuk mengadahkan tangan anda dekat sensor pir , jika keran mati, coba singkirkan tangan anda dari keran, jika keran hidup maka rangkaian pun berhasil dibuat dengan baik.
c. Prinsip Kerja
prinsip kerja dari sensor pir ini ialah apabila sensor mendeteksi adanya halangan pada sinar infrared yang ditembakkan, maka akan memicu kran untuk mati
d. Video










No comments:
Post a Comment